
【背景介绍】
氨是一种重要的化工原料,主要用于化肥生产,近年来在绿色氢能载体和燃料方面表现出很大的潜力。近年来,光催化N2还原反应(NRR)是一种非常有前景的氨合成方法,可以替代传统的Haber-Bosch方法。研究表明,V有助于降低N2活化能,加速加氢过程,其中,BiVO4是定位V元素的理想底物,具有成本低、理化性质优越等优点,在各种光催化应用中具有很大的前景。目前,Ru作为活性中心不仅加速N2的吸附和活化,还降低了NRR定速步骤的热力学能垒,被认为是第二代氨合成催化剂。目前,Ru团簇负载的方法包括溶剂热处理和在高温惰性气氛中使用硼氢化钠还原。然而,高温过程可能会破坏催化剂的结构,同时导致贵金属聚集,从而限制了暴露的活性位点。因此,探索简便、先进的方法在BiVO4上实现空位的构建和金属簇的负载具有重要意义,其中载体与金属之间的强MSI效应可以为光催化NRR提供高效的N2吸附位点和电子转移通道。
【内容简介】
日前,中国海洋大学化学化工学院海洋化学理论与工程技术教育部重点实验室的孟祥超教授课题组在Journal of Catalysis上发表了题为“Rapid Joule-Heating fabrication of oxygen vacancies and anchor of Ru clusters onto BiVO4 for greatly enhanced photocatalytic N2 fixation”的研究文章,作者采用快速焦耳热方法形成氧空位,并进一步诱导Ru团簇沉积在BiVO4上。快速焦耳加热法在BiVO4上制造氧空位,形成富电子活性Ru位和不饱和V位。原始BiVO4在光催化合成氨中几乎没有活性。氧空位形成后,BiVO4的光催化产氨率提高到3.88 μmol g-1 h-1。负载Ru簇后,BiVO4的光催化产氨率进一步提高到16.57 μmol g-1 h-1。结果表明,靠近氧空位和Ru簇的不饱和V位点可能是N2吸附和活化的活性位点。Ru和BiVO4之间的强金属载体相互作用导致Ru簇和BiVO4载体之间的电荷重新分配,从而降低了N2加氢速率决定步骤的能量势垒。DFT进一步证实了联想交替通路适用于这一过程。
【图文速览】

图1 (a) Schematic illustration for preparation of the Ru/BiVO4-VO catalysts. (b) SEM, (c) HRTEM images of BiVO4, (d) HRTEM images of BiVO4-VO (e) TEM images and the diameter size distribution of Ru/BiVO4-VO (f) HRTEM images and (g) the corresponding element mappings of Ru/BiVO4-VO.

图2 (a, b) XRD patterns of BiVO4, BiVO4-VO, Ru/BiVO4-d-VO and Ru/BiVO4-VO. High-resolution XPS spectra for (b) Bi 4f, (c) V 2p, (d) O 1 s of BiVO4, BiVO4-VO, Ru/BiVO4-d-VO and Ru/BiVO4-VO. (e) EPR spectra of different samples, (f) High-resolution XPS spectra for Ru 3d + C 1 s of Ru/BiVO4-VO and Ru/BiVO4-d-VO.

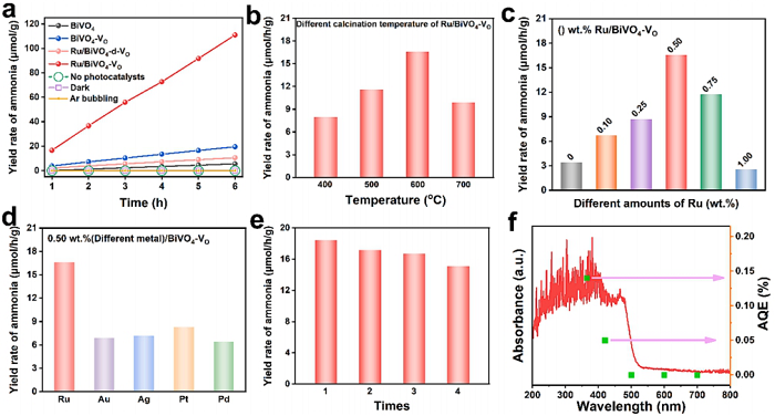
图3 Photocatalytic N2 fixation performances of (a) BiVO4, BiVO4-VO and Ru/BiVO4-VO. The ammonia production rate of Ru/BiVO4-VO obtained from (b) different calcination temperatures, (c) different Ru contents and (d) M/BiVO4-VO (M = Ru, Au, Ag, Pt, Pd). (e) Photocatalytic ammonia production rate for cyclic tests of Ru/BiVO4-VO and (f) Calculated AQEs (green dots) for ammonia production rate over Ru/BiVO4-VO along with its light absorption spectrum (red line).

图4 (a) SPV, (b) Photocurrent responses, (d) EIS spectra, (d) PL spectra, (e) Time-resolved transient PL decay and (f) N2-TPD spectra of BiVO4, BiVO4-VO and Ru/BiVO4-VO.

图5 (a) DRS spectra, (b) Tauc plots of (ɑhν)1/2 versus energy (hν), (c) XPS valence spectra of BiVO4, BiVO4-VO and Ru/BiVO4-VO. Calculated band structures of (e)
BiVO4, (f) BiVO4-VO.

图6 In-situ XPS spectra treating with irradiation of Ru/BiVO4-VO for (a) Bi 4f, (b) V 2p, (c) Ru 3d + C 1 s of BiVO4, BiVO4-VO and Ru/BiVO4-VO. (d) Diagram of charge transfer and valence change of Ru/BiVO4-VO during photocatalytic NRR.

图7 (a) Structures of N2 adsorbed on different sites of catalysts. (b) Bader charges density difference of Ru/BiVO4-VO, (c) Difference charge density of Ru/BiVO4-VO with the adsorption of N2. Free energy diagrams for N2 reduction on (d) BiVO4-VO and (e) Ru/BiVO4-VO through distal and alternating mechanisms with corresponding reaction energy.